
Habitual coffee drinking is common among Americans – 54% partake in the daily ritual (NCA 2009). The average per capita consumption in the US is 4.2 kg, or 9.2 lbs (WRI 2008); that’s like filling your backpack with coffee grounds for the year. Surprisingly, a typical Arabica coffee tree only produces one to one-and-a-half pounds of coffee each year, so that makes each of us coffee drinkers reliant on a small group of trees in some tropical place far away.
If you consider yourself one of these habitual coffee drinkers, I’m sure you’ve given some thought to how it affects your health. I mean, how can ingesting so much of one chemical not be bad for you, right? Well, here are some of the facts of how coffee interacts with your brain and how those interactions affect your body. [Except where otherwise noted, all information is from Higdon and Frei, 2006.]
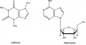
Caffeine functions by preventing the actions of neural chemical adenosine, which is a neural inhibitor (an important role if you are trying to sleep). Since caffeine and adenosine have similar but not identical chemical structures (see figure below), caffeine can associate with adenosine receptors without initiating any of adenosine’s inhibitory actions, while simultaneously preventing adenosine from interacting with its receptors. In the neurobiology world, this type of interaction is called antagonism.

Antagonism of adenosine receptors by caffeine results in stimulating the central nervous system (i.e., the brain), raising blood pressure, and increasing metabolic rate, as well as increasing urine production.
The Good News
Coffee contains high levels of chlorogenic acids at 70-350 mg/cup, which have antioxidant activity in vitro (in cells grown outside a body), but are possibly less effective in vivo (in cells within your body). Antioxidants combat the damaging effects of free radicals, which randomly break down cell compounds.
Coffee may play a role in reducing the risk of Type II Diabetes (high levels of glucose in the blood) by decreasing insulin sensitivity and impairing glucose tolerance. However, long-term consumption has been suggested to result in increased glucose tolerance, so don’t count on coffee to prevent you from getting diabetes just yet.
Habitual consumption of coffee is inversely related to the risk of developing Parkinson’s disease (PD). In PD, neurons that make dopamine degenerate, which leads to a decrease in dopamine levels and results in impaired motor skills. Caffeine acts on the same receptors (adenosine) that initiate the actions of these neurons, and through some unknown actions, may reduce the loss of dopamine-making neurons.
The Bad News
Unfiltered coffee, for instance French Press- or Turkish-made coffee, contains high levels (6-12 mg/cup) of cafestol and kahweol, which by some unknown action increase blood levels of LDL cholesterol (the bad kind; HDL is good).
Drinking five or more cups of coffee a day increases the risk of heart attack and coronary heart disease (narrowing of arteries that go to the heart). However, the majority of studies on coffee drinkers that kept their consumption below this level found no significant risks for heart attack or coronary heart disease.
Drinking 2-3 cups of coffee a day is known to raise blood pressure (by about 2 mm Hg), a risk factor for coronary heart disease.
Coffee inhibits the absorption of iron by 24-73%. You’ll get the best out of your vitamin if you take it without coffee.
[More bad news? Cigarette smoking decreases the effectiveness of caffeine by increasing the rate at which caffeine is broken down.]
Long-term coffee habits may not actually be a bad thing, as long as you’re drinking less than five cups a day. However, when you consider those nine trees you rely on; perhaps you should think more critically about your habits, or at least how you go about them. The popularity of coffee has impacted people worldwide, but especially in the tropics. Have you heard of shade-grown coffee? How about Fair Trade Coffee? Stay tuned for more.
For your information, here are typical caffeine levels found as part of a regular diet:
| Substance | Serving Size | Caffeine Content | Caffeine Content |
| (volume or weight) | (range) | (typical) | |
| Coffee | |||
| Brewed/Drip | 6 oz | 77-150 mg | 100 mg |
| Instant | 6 oz | 20-130 mg | 70 mg |
| Espresso | 1 oz | 30-50 mg | 40 mg |
| Decaffeinated | 6 oz | 2-9 mg | 4 mg |
| Tea | |||
| Brewed | 6 oz | 30-90 mg | 40 mg |
| Instant | 6 oz | 10-35 mg | 30 mg |
| Canned or Bottled | 12 oz | 8-32 mg | 20 mg |
| Other | |||
| Caffeinated Soft Drinks | 12 oz | 22-71 mg | 40 mg |
| Cocoa/Hot Chocolate | 6 oz | 2-10 mg | 7 mg |
| Chocolate Milk | 6 oz | 2-7 mg | 4 mg |
| Coffee Ice Cream or Yogurt | 1 cup (8 oz) | 8-85 mg | 50 mg |
| Chocolate | |||
| Milk | 1.5 oz | 2-10 mg | 10 mg |
| Dark | 1.5 oz | 5-35 mg | 30 mg |
Adapted from Griffiths et al., 2003
____________________________________________
References
National Coffee Association. 2009. National Coffee Drinking Trend Study.
World Resource Institute. 2008. Countries by coffee consumption per capita.
Griffiths, R.R., Juliano, L.M., & Chausmer, A.L. (2003). Caffeine pharmacology and clinical effects. In: Graham A.W., Schultz T.K., Mayo-Smith M.F., Ries R.K. & Wilford, B.B. (eds.) Principles of Addiction Medicine, Third Edition (pp. 193-224).
Higdon, J.V. and B. Frei. 2006. Coffee and health: A review of recent human research. Critical Reviews in Food Science and Nutrition, 46:101–123. (You can find the .pdf of this paper here.)

One Comment on “Coffee and You: Part 1”